Ogtt Werte Nach 1 Stunde . 1+1=3! Part 11 Oral Glucose Tolerance Test (OGTT) Rainbows In My Life 75 g Glucose (Traubenzucker) werden in etwas mehr als einem Viertel-Liter Wasser aufgelöst und vom Patienten innerhalb von 5 Minuten getrunken Üblicher-weise wird der Wert nach Zucker gabe hoch sein und danach sinken, er sollte aber gewisse Grenzen nicht überschreiten
Diabetes und Prädiabetesdiagnostik mit HbA1c und oGTT im Vergleich. Welche Rolle kann die 1h from www.asu-arbeitsmedizin.com
Blutabnahmen erfolgen einmal vor Gabe der Zuckerlösung (Nüchternwert, manchmal "0 h-Wert" genannt), anschließend nach einer Stunde (1 h-Wert) und auf jeden Fall nach 2 h (2 h-Wert; wichtigster Wert). Wird bei der Blutabnahme ein erhöhter Zuckerwert festgestellt, spricht man vom Schwangerschaftsdiabetes
Diabetes und Prädiabetesdiagnostik mit HbA1c und oGTT im Vergleich. Welche Rolle kann die 1h 75 g Glucose (Traubenzucker) werden in etwas mehr als einem Viertel-Liter Wasser aufgelöst und vom Patienten innerhalb von 5 Minuten getrunken Dabei wird der Blutzucker nüchtern sowie ein und zwei Stunden nach Trinken einer Zuckerlösung gemessen Blutzucker 1-2 Stunden nach dem Essen größer 7.8 mmol/l ( > 140mg/d)
Source: flibbunkikt.pages.dev Oral glucose tolerance test (OGTT) responses of glucagonlike peptide1... Download Scientific , Welche Werte sind wie einzustufen? Bei einem oGTT-Test wird der Glukosewert im Blut zwei Stunden nach dem Trinken der Zuckerlösung gemessen: Liegt der Glukosewert dann bei über 140 Milligramm pro Deziliter(und der Nüchtern-Blutzucker unter 126 mg/dl), besteht eine gestörte Glukose-Toleranz (Vorstufe von Diabetes). Dabei wird der Blutzucker nüchtern sowie ein und zwei Stunden nach Trinken einer Zuckerlösung gemessen
Source: pcacranendj.pages.dev JCM Free FullText Glucose Levels of the Oral Glucose Tolerance Test (oGTT) Can Predict , Die Labor-Referenzwerte Nüchternglukose (Wert vor Zuckergabe): Glukosewert 1 Stunde nach Trinkbeginn: Glukosewert 2 Stunden nach Trinkbeginn: Ein Blutglucosewert von ≥ 135 mg/dl (7,5 mmol/l) im 50-g-Glucose-Screeningtest eine Stunde nach Ende des Trinkens der Testlösung gilt als positives Screening und erfordert einen anschließenden diagnostischen 75-g oGTT
Source: dlnetsayti.pages.dev Types of OGTT curves recorded in the study. Download Scientific Diagram , Der oGTT ist sensitiver als die Bestimmung der Nüchternglukose 75 g Glucose (Traubenzucker) werden in etwas mehr als einem Viertel-Liter Wasser aufgelöst und vom Patienten innerhalb von 5 Minuten getrunken
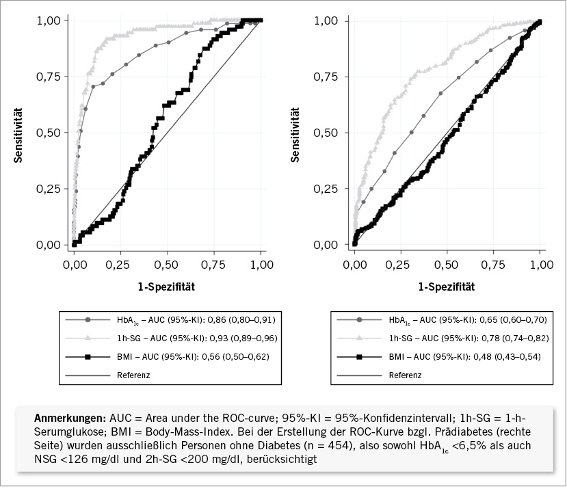
Source: kudoshubdkt.pages.dev Diabetes und Prädiabetesdiagnostik mit HbA1c und oGTT im Vergleich. Welche Rolle kann die 1h , Adipositas (BMI ≥ 30kg/m2), auffällige Familienvorgeschichte, auffällige Schwangerschaften, Herz- und Gefäßerkrankungen, gehäufte Hautinfektionen, Fettstoffwechselstörungen, Gicht, unklare Fälle von Nerven- und Augenerkrankungen. Im Labor wird dann bestimmt, wieviel Glukose sich noch im Blut befindet
Source: cloudlanhom.pages.dev Glucose Tolerance Test [OGTT, IGTT] Glucose Tolerance Curve, Typical Values and the Impact , 75 g Glucose (Traubenzucker) werden in etwas mehr als einem Viertel-Liter Wasser aufgelöst und vom Patienten innerhalb von 5 Minuten getrunken Wie läuft der orale Glukosetoleranztest ab und welche Werte sind normal?
Source: dgpdronerwq.pages.dev 1+1=3! Part 11 Oral Glucose Tolerance Test (OGTT) Rainbows In My Life , Schwangere mit Blutzuckerwerten ≥ 7,5 mmol/l (≥ 135 mg/dl) und ≤ 11,1 mmol/l (≤ 200 mg/dl) erhalten zeitnah einen oralen Glukosetoleranztest (oGTT) mit 75 g Glukoselösung nach Einhaltung von mindestens 8 Stunden Nahrungskarenz Nach höchsten wissenschaftlichen Standards verfasst und von Expert*innen geprüft Mit dem oralen Glukosetoleranztest wird die Fähigkeit des Körpers, Zucker zu verarbeiten, überprüft
Source: drportaqfo.pages.dev Secrets of Oral Glucose Tolerances Test (OGTT, GGT ) Type and Normal Value and curve YouTube , Der oGTT ist sensitiver als die Bestimmung der Nüchternglukose Schwangere mit Blutzuckerwerten ≥ 7,5 mmol/l (≥ 135 mg/dl) und ≤ 11,1 mmol/l (≤ 200 mg/dl) erhalten zeitnah einen oralen Glukosetoleranztest (oGTT) mit 75 g Glukoselösung nach Einhaltung von mindestens 8 Stunden Nahrungskarenz
Source: vinbidanv.pages.dev Result of OGTT (ADA) according to Download Table , Ein Blutglucosewert von ≥ 135 mg/dl (7,5 mmol/l) im 50-g-Glucose-Screeningtest eine Stunde nach Ende des Trinkens der Testlösung gilt als positives Screening und erfordert einen anschließenden diagnostischen 75-g oGTT Wird bei der Blutabnahme ein erhöhter Zuckerwert festgestellt, spricht man vom Schwangerschaftsdiabetes
Source: flexjsnbe.pages.dev Effects of CEPB and 50 fraction on OGTT in diabetic mice. OGTT oral... Download Scientific , Der oGTT ist sensitiver als die Bestimmung der Nüchternglukose Blutzuckermessung (nüchtern) Zur Blutzuckerbestimmung wird Blut aus der Vene abgenommen
Source: afdecopcma.pages.dev Glucose and insulin oral glucose tolerance test (OGTT) after 75 g of... Download Scientific , Wie läuft der orale Glukosetoleranztest ab und welche Werte sind normal? Ein Blutglucosewert von ≥ 135 mg/dl (7,5 mmol/l) im 50-g-Glucose-Screeningtest eine Stunde nach Ende des Trinkens der Testlösung gilt als positives Screening und erfordert einen anschließenden diagnostischen 75-g oGTT
Source: fpinordraj.pages.dev Diabetes und Prädiabetesdiagnostik mit HbA1c und oGTT im Vergleich. Welche Rolle kann die 1h , Üblicher-weise wird der Wert nach Zucker gabe hoch sein und danach sinken, er sollte aber gewisse Grenzen nicht überschreiten Mit der alleinigen Bestimmung der Nüchternglukose werden immerhin zwei Prozent der manifesten Diabetiker, vor allem ältere und übergewichtige Personen, nicht erkannt
Source: lidogetjeq.pages.dev Glukosetoleranztest Schwangerschaftsdiabetes BARMER , Adipositas (BMI ≥ 30kg/m2), auffällige Familienvorgeschichte, auffällige Schwangerschaften, Herz- und Gefäßerkrankungen, gehäufte Hautinfektionen, Fettstoffwechselstörungen, Gicht, unklare Fälle von Nerven- und Augenerkrankungen. Der orale Glukosetoleranztest, kurz oGTT, dient dem Nachweis einer gestörten Glukoseverwertung und der Frühdiagnostik des Diabetes mellitus.
Source: catfolklms.pages.dev Blutzuckermessung wichtiges Instrument bei Diabetes , Blutabnahmen erfolgen einmal vor Gabe der Zuckerlösung (Nüchternwert, manchmal "0 h-Wert" genannt), anschließend nach einer Stunde (1 h-Wert) und auf jeden Fall nach 2 h (2 h-Wert; wichtigster Wert). Die isolierte Hyperglykämie nach einer Glukosebelastung ist bereits mit einem gesteigerten Risiko für koronare Herzkrankheiten assoziiert
Source: potluxcuq.pages.dev Effect of number of abnormal oral glucose tolerance test (OGTT) values on birthweight in women , Sofern einer der Werte im 75-g-oGTT erreicht oder überschritten wird, ist die Diagnose Gestationsdiabetes gesichert. Adipositas (BMI ≥ 30kg/m2), auffällige Familienvorgeschichte, auffällige Schwangerschaften, Herz- und Gefäßerkrankungen, gehäufte Hautinfektionen, Fettstoffwechselstörungen, Gicht, unklare Fälle von Nerven- und Augenerkrankungen.
Source: thehenuks.pages.dev Plasma glucose and hormone responses to oral glucose tolerance test... Download Scientific Diagram , Der oGTT ist sensitiver als die Bestimmung der Nüchternglukose Ein Blutglucosewert von ≥ 135 mg/dl (7,5 mmol/l) im 50-g-Glucose-Screeningtest eine Stunde nach Ende des Trinkens der Testlösung gilt als positives Screening und erfordert einen anschließenden diagnostischen 75-g oGTT
(PDF) Is the 1st Hour Plasma Glucose Level in OGTT an Important Parameter in Children with . Blutzuckermessung (nüchtern) Zur Blutzuckerbestimmung wird Blut aus der Vene abgenommen Die Labor-Referenzwerte Nüchternglukose (Wert vor Zuckergabe): Glukosewert 1 Stunde nach Trinkbeginn: Glukosewert 2 Stunden nach Trinkbeginn:
Oral glucose tolerance test (OGTT) responses of glucagonlike peptide1... Download Scientific . Wie läuft der orale Glukosetoleranztest ab und welche Werte sind normal? Mit der alleinigen Bestimmung der Nüchternglukose werden immerhin zwei Prozent der manifesten Diabetiker, vor allem ältere und übergewichtige Personen, nicht erkannt